全国2008年1月高等教育自学考试工程力学(一)试
全国2008年1月高等教育自学考试
工程力学(一)试题
课程代码:02159
一、单项选择题(本大题共10小题,每小题2分,共20分)
在每小题列出的四个备选项中只有一个是符合题目要求的,请将其代码填写在题后的括号内.错选、多选或未选均无分.
1.光滑面对物体的约束力,作用在接触点处,方向沿接触面的公法线,且( )
A.指向受力物体,恒为拉力
B.指向受力物体,恒为压力
C.背离受力物体,恒为拉力
D.背离受力物体,恒为压力
2.力的可传性原理是指作用于刚体上的力可在不改变其对刚体的作用效果下( )
A.平行其作用线移到刚体上任一点
B.沿其作用线移到刚体上任一点
C.垂直其作用线移到刚体上任一点
D.任意移动到刚体上任一点
3.空间任意力系独立的平衡方程式有( )
A.3个
B.4个
C.5个
D.6个
4.点作圆周运动,若法向加速度的值越来越大,则点的速度的绝对值将( )
A.越来越大
B.越来越小
C.没有变化
D.变大变小无法确定

6.各向同性假设认为,材料沿各个方向具有相同的( )
A.应力
B.变形
C.位移
D.力学性质
7.关于截面法下列叙述中正确的是( )
A.截面法是分析杆件变形的基本方法
B.截面法是分析杆件应力的基本方法
C.截面法是分析杆件内力的基本方法
D.截面法是分析杆件内力与应力关系的基本方法
8.在下列关于梁转角的说法中,错误的是( )
A.转角是横截面绕中性轴转过的角度
B.转角是横截面绕梁轴线转过的角度
C.转角变形前后同一横截面间的夹角
D.转角是挠曲线之切线与轴向坐标轴间的夹角
9.某机轴为Q235钢制,工作时发生弯扭组合变形.对其进行强度计算时,宜采用( )
A.第一或第二强度理论
B.第二或第三强度理论
C.第三或第四强度理论
D.第一或第四强度理论
二、填空题(本大题共20小题,每小题1分,共20分)
请在每小题的空格中填上正确答案.错填、不填均无分.
11.使物体运动或产生运动趋势的力称为_______________.
12.平面汇交力系平衡的必要和充分条件是_______________.
13.平面力偶系可以合成为一个合力偶,合力偶矩等于各分力偶矩的_______________.
14.对于受力平衡系统,若未知量的数目超过独立的平衡方程数,这类问题称为_______________.
15.动点的_______________在直角坐标轴上的投影,等于其相应坐标对时间的二阶导数.
16.刚体在运动过程中,其上各点的轨迹形状相同,每一瞬时各点具有相同的速度和加速度,刚体的这种运动称为_______________.
17.在平面运动中,平面图形上任一点的速度等于基点的速度和该点绕基点的转动速度的_______________.
18.如题18图所示,均质细长直杆长l,质量为m,直杆对其形心轴Zc的转动惯量为_______________.

19.平动刚体的惯性力的大小等于刚体的质量m与质心加速度ac的乘积,方向与质心加速度的方向_______________.
20.如题20图所示,两个刚度分别为k1和k2的弹簧组成并联系统,该系统的等效刚度为_______________.
21.轴向拉伸或压缩时直杆横截面上的内力称为_______________.
22.材料中应力变化不大,而应变显著增加的现象称为_______________.
23.空心圆截面外径、内径分别为D和d,则其抗扭截面系数Wn=_______________.
24.构件内单元体上二相互垂直棱边夹角在构件受力后的改变量,称为_______________.
25.题25图所示矩形截面Iz=_______________.

26.单元体上切应力为零的面上的正应力,称为_______________.
27.外力作用线平行于杆轴线但不通过横截面形心,则杆产生_______________.
28.弯扭组合圆轴中除轴心外各点处于_______________向应力状态.
29.冲击问题由于加速度难以确定,故不能采用动静法,而是采用_______________求解.
30.减小冲击的主要措施是_______________.
三、简答题(本大题共2小题,每小题5分,共10分)
31.静摩擦力有何特点?
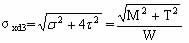
32.有人说,拉伸一扭转组合圆杆的应力状态与弯曲一扭转时完全一样,因而在第三强度理论中,其相当应力表示式也完全一样,即
,你认为对吗?
四、计算题(本大题共6小题,每小题5分,共30分)
33.画出题33图所示组合梁中AB梁和CD梁的受力图.设C处光滑.
34.如题34图所示,长为l的悬臂梁受均布载荷q及集中力Fp和2Fp作用,其中Fp=3ql.求固定端A处的约束反力.
35.质量为m1和m2的两重物,分别挂在两条绳子上,绳子又分别绕在半径为r1和r2并装在同一轴的两鼓轮上.已知两鼓轮为一整体,其对O轴的转动惯量为J,系统在重力作用下发生运动,求鼓轮的角加速度α
36.一根直径d=10mm的圆截面直杆,在轴向拉力F=14kN作用下,直径减小了0.0025mm.试求材料的横向变形系数μ.已知材料的弹性模量E=200GPa.
37.作如题37图所示梁的剪力、弯矩图.
38.长2m、正方形截面100×100mm2之两端铰支压杆,已知E=70GPa,σp=175MPa,试求此杆属何类杆?
五、综合题(本大题共2小题,每小题10分,共20分) 
浙江自考网声明:
1、由于各方面情况的调整与变化,本网提供的考试信息仅供参考,考试信息以省考试院及院校官方发布的信息为准。
2、本网信息来源为其他媒体的稿件转载,免费转载出于非商业性学习目的,版权归原作者所有,如有内容与版权问题等请与本站联系。联系邮箱:952056566@qq.com
浙江自考便捷服务
浙江自考网考生群



